Les matrices de Pauli, développées par Wolfgang Pauli, forment, au facteur i près, une base de l'algèbre de Lie du groupe SU(2).
Elles sont définies comme l'ensemble de matrices complexes de dimensions 2 × 2 suivantes :
(où i est l’unité imaginaire des nombres complexes).
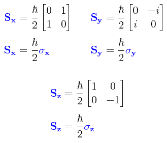
Ces matrices sont utilisées en mécanique quantique pour représenter le spin des particules, notamment dès 1927 dans l'étude non-relativiste du spin de l'électron : l'équation de Pauli.
Propriétés
Identités
Ces identités impliquent la formule
Valeurs propres et vecteurs propres
Le déterminant et la trace des matrices de Pauli sont :
Par conséquent, les valeurs propres de chaque matrice sont ±1.
Chacune des trois matrices possède deux vecteurs propres :
- Pour : et
- Pour : et
- Pour : et
Autres propriétés
Les matrices de Pauli obéissent aux relations de commutation et d'anticommutation suivantes :
où est le symbole de Levi-Civita, est le symbole de Kronecker et est la matrice identité. Les relations ci-haut peuvent être vérifiées en utilisant :
- .
Ces relations de commutativité sont semblables à celles sur l'algèbre de Lie et, en effet, peut être interprétée comme l'algèbre de Lie de toutes les combinaisons linéaires de l'imaginaire fois les matrices de Pauli , autrement dit, comme les matrices anti-hermitiennes 2×2 avec trace de 0. Dans ce sens, les matrices de Pauli génèrent . Par conséquent, peut être vu comme les générateurs infinitésimaux du groupe de Lie correspondant SU(2) .
L'algèbre de est isomorphe à l'algèbre de Lie , laquelle correspond au groupe de Lie SO(3), le groupe des rotations en trois dimensions. En d'autres termes, les sont des réalisations de rotations « infinitésimales » dans un espace à trois dimensions (en fait, ce sont les réalisations de plus basse dimension).
Pour un vecteur de rotation en trois dimensions et le vecteur composé des matrices de Pauli, on a la relation suivante:
où est l'angle de rotation (la norme de ) et .
Autres formulations
Matrices σ et σ–
En mécanique quantique, les matrices de Pauli peuvent être remplacées par les matrices , définies par
- et .
Leur commutateur est .
En choisissant comme base de les vecteurs , les matrices agissent comme et .
Quaternions
Les quaternions vérifient des propriétés proches de celles des matrices de Pauli. Il est en effet possible d'identifier l'unité réelle des quaternions avec la matrice identité et les trois unités , et aux matrices de Pauli (à un facteur multiplicatif près).
Physique
En mécanique quantique les iσj représentent les générateurs des rotations sur les particules non relativistes de spin 1⁄2. L'état de ces particules est représenté par des spineurs à deux composantes, ce qui est la représentation fondamentale de SU(2). Une propriété intéressante des particules de spin 1⁄2 est qu'elles doivent subir une rotation de 4π radians afin de revenir dans leur configuration d'origine. Ceci est dû au fait que SU(2) et SO(3) ne sont pas globalement isomorphes, malgré le fait que leurs générateurs infinitésimaux, su(2) et so(3), soient isomorphes. SU(2) est en fait un « revêtement de degré deux » de SO(3) : à chaque élément de SO(3) correspondent deux éléments de SU(2).
En mécanique quantique à plusieurs particules, le groupe de Pauli (en) Gn est également utile. Il est défini comme tous les produits tensoriels à n dimensions de matrices de Pauli.
Avec la matrice identité I, parfois dénotée σ0, les matrices de Pauli forment une base de l'espace vectoriel réel des matrices hermitiennes complexes 2 × 2. Cet espace vectoriel est équivalent à l'ensemble des quaternions. Lorsque utilisée comme base pour l'opérateur de rotation de spin 1⁄2, elle est identique à celle pour la représentation de rotation de quaternion correspondante.
Articles connexes
- Matrice de Dirac
- Moment angulaire
- Quaternion
- Matrices de Gell-Mann
- Groupe de Poincaré (transformations)
Référence
- (en) Richard L. Liboff (en), Introductory Quantum Mechanics, Addison-Wesley, 2002 (ISBN 0805387145)
Liens externes




